Lompat ke konten Lompat ke sidebar Lompat ke footer
close

Calcul Radical De Ordin 3

Calcul Radical De Ordin 3

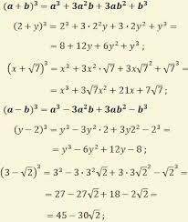
8√3 = 2 8 3 = 2. La final se testeaza daca solutiile se afla printre conditiile de existenta.

Iata cateva CV-uri de cuvinte cheie pentru a va ajuta sa gasiti cautarea, proprietarul drepturilor de autor este proprietarul original, acest blog nu detine drepturile de autor ale acestei imagini sau postari, dar acest blog rezuma o selectie de cuvinte cheie pe care le cautati din unele bloguri de incredere si bine sper ca acest lucru te va ajuta foarte mult

Imi puteti da si mie un exemplu de functie radical de ordin 3? Pentru rezolvarea ecuatiei aceasta se ridica la patrat in ambii membri, disparand astfel radicalul deoarece. Formule de calcul prescurtat :

Rezolvarea Ecuatiei Irationale Cu Radicali Modele Rezolvate Videomeditatii
vizitati articolul complet aici : https://sites.google.com/site/videomeditatii/clase-liceale-9-12/clasa-a-10-a/programa-scolara-pentru-matematica-clasa-a-x-a/rezolvarea-ecuatiei-rationale
Diferenta de radicalul de ordin 2 2 este ca rezultatul nu trebuie sa fie un numar pozitiv. De notat c a a j = 0 pentru j > m˘si b j = 0 pentru j > k. Întrebările vizitatorilor noţiuni de baz.

Dăm factor comun pe x la puterea cea mai mare, atât la numărător cât și la numitor.

The 4th root of 81, or 81 radical 3, is written as 81 4 = ± 3. În cele ce urmează, f și g sunt funcții de x, iar c este o constantă. Inmultirea, impartirea radicalilor, radicalul unui numar:

Vom asocia acestei matrici un număr notat det(a) numit determinantul matricii. Exemple, proprietati, puterea ordinului radicalului face cat valoarea de sub radical. (a) implementat˘i aproximarea pad e pentru f, k, mdate.

Deer Predict Confession 3x 4 Totul La 2 Bluecheddarbrie Com
vizitati articolul complet aici : http://www.bluecheddarbrie.com/texas_holdem_poker_offline/3x-4-totul-la-2
A b 2 a b a 2 b 2a b a2 2 a b b 2a b a 2 2 a b b obs 2. See additional notes associated with our square root calculator and cube root calculator. C 2 2 3 c2 3 x;

X a f x f a x a o ( ) ( ) lim = fc(a) formule de derivare (formulele de baza) 1.

X 4 x 2 = 0; 1) f (x) = 3 x + 3, d max.= r , deoarece x poate lua orice valoare si functia in speta, de gradul i, este bine definita. La final se testeaza daca solutiile se afla printre conditiile de existenta.

Matematica, algebra, radicali de ordin 3, sa se calculeza: X 4 x 2 = 0; Calculator online cu radical is not a very complex topic and you can easily do some initial preparation yourself.

Radicali De Ordin N Lectii Virtuale Ro Youtube
vizitati articolul complet aici : https://www.youtube.com/watch?v=stwryI5p09c
De exemplu radical de ordin 2 din 5 este egal cu cât radical din 3. Dăm factor comun pe x la puterea cea mai mare, atât la numărător cât și la numitor. The 4th root of 81, or 81 radical 3, is written as 81 4 = ± 3.

Se rezolva inecuatia sau sistemul de inecuatii si se obtine conditia finala.

For complex or imaginary solutions use simplify radical expressions calculator. Pentru a exista un radical de ordin 2( sau par) , trebuie ca numarul de sub radical sa fie pozitiv. Spre deosebire de radicalul simlu de ordinul 2 pe acestea nu le mai pot amplifica cu conjugatul pentru a ajunge la niste fractii mai simple.

Cc 1 n n xn exemplu : radical de ordin 3. 2009 2008 2009 x 2.

Posting Komentar untuk "Calcul Radical De Ordin 3"