Lompat ke konten Lompat ke sidebar Lompat ke footer
close

Sisteme De Ecuatii Liniare Exercitii Rezolvate

Sisteme De Ecuatii Liniare Exercitii Rezolvate

Sisteme de ecuatii liniare fie sistemul de m ecuatii. Verificati ca structura algebrica este spatiu vectorial.

Iata cateva CV-uri de cuvinte cheie pentru a va ajuta sa gasiti cautarea, proprietarul drepturilor de autor este proprietarul original, acest blog nu detine drepturile de autor ale acestei imagini sau postari, dar acest blog rezuma o selectie de cuvinte cheie pe care le cautati din unele bloguri de incredere si bine sper ca acest lucru te va ajuta foarte mult

Rezolvarea sistemelor de ecuații liniare. Rezolvati in rxrxr sistemul de ecuatii liniare. Sisteme de ecuații liniare rezolvate folosind metoda reducerii.

Formule Matematica Sisteme De Ecuatii Liniare Sisteme De 3 Ecuatii Cu 3 Necunoscute Metode De Rezolvare
vizitati articolul complet aici : http://www.meditatiionline.ro/44100-16-53-0-0-Formule_Matematica_Sisteme_de_ecuatii_liniare_Sisteme_de_3_ecuatii_cu_3_necunoscute_Metode_de_rezolvare.html
1.notiuni generale 2.rezolvarea matriceala a sistemelor de n ecuatii cu n necunoscute 3.rezolvarea sistemelor de ecuatii omogene 4. Calculatorul nostru va fi, de asemenea. Pentru a rezolva sistemul de ecuații liniare poate fi o varietate de moduri, de exemplu prin metoda cramer sau metoda гауса sau alte moduri.

Sisteme de ecuatii de gradul 1 (liniare) cu 2 necunoscute.

Dacă notăm cu a matricea coeficienţilor, cu x vectorul coloană format cu necunoscutele sistemului şi cu b coloana termenilor liberi, sistemul (1) se scrie sub formă matriceală: § un sistem liniar de ecuaţii cu necunoscute se definește astfel Verificati ca structura algebrica este spatiu vectorial.

Cateva sisteme de ecuatii rezolvate. Sisteme de ecuatii de gradul 1 (liniare) cu 2 necunoscute. Sisteme de m ecuatii cu n necunoscute.

Probleme Rezolvate De Algebră M2 Algebra Sisteme De Ecuații Liniare
vizitati articolul complet aici : http://problemerezolvatedematematica04.blogspot.com/p/sisteme-de-ecuatii-liniare.html
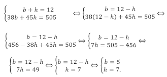
Metoda de rezolvare a sistemului prin reducere să înmulțim sau să împărțim convenabil o ecuație sau ambele ecuații cu un număr întreg astfel încât prin adunare sau prin scăderea ecuațiilor obținute după înmulțire sau împărțire să se anuleze termenii ce conține una din necunoscute. În exemplul rezolvat de mai jos avem un sistem de două ecuații liniare două sisteme se numesc echivalente dacă au aceeași mulțime de soluții. Coeficienții sistemului pot fi limitați la a fi numere întregi, raționale, reale sau complexe.

Exercitii rezolvate si probleme rezolvate adaugam constant.

Exercitii rezolvate si probleme rezolvate adaugam constant. Rezolvarea sistemelor de ecuații liniare. Cateva sisteme de ecuatii rezolvate.

Soluţia sisteme de ecuatii liniare. Calculatorul nostru va fi, de asemenea. Intotdeauna acest sistem este compatibil avand cel putin solutia banala (cu daca atunci sistemul are si alte solutii diferite de cea banala.sistemul este compatibil nedeterminat.

Ecuatii Si Inecuatii Cu Parametri
vizitati articolul complet aici : https://ro.scribd.com/doc/130582973/Ecuatii-Si-Inecuatii-Cu-Parametri
1.notiuni generale 2.rezolvarea matriceala a sistemelor de n ecuatii cu n necunoscute 3.rezolvarea sistemelor de ecuatii omogene 4. Rezolvati in rxrxr sistemul de ecuatii liniare. Rezolvarea sistemelor de ecuații liniare.

Lecții video de matematică, teorie și exerciții rezolvate, teste online.

Calculatorul nostru va fi, de asemenea. § un sistem liniar de ecuaţii cu necunoscute se definește astfel Rezolvarea sistemelor de ecuatii liniare a stat la baza introducerii notiunii de determinant.

Posting Komentar untuk "Sisteme De Ecuatii Liniare Exercitii Rezolvate"